Министерство Юстиции Российской Федерации
версия для слабовидящих
×
Закрыть
Информация об официальном опубликовании
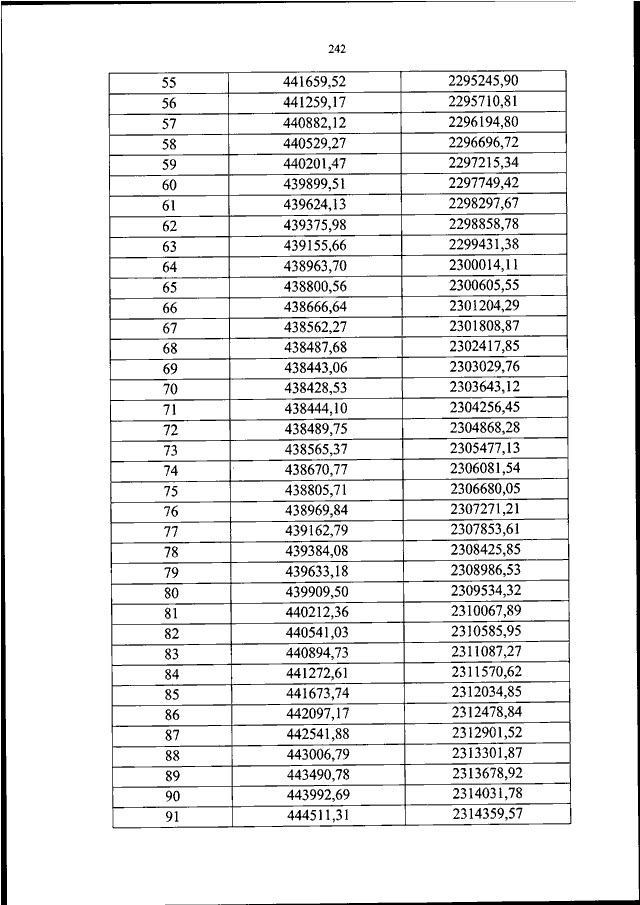
ПРИКАЗ Росавиации от 14.08.2023 N 661-П
"ОБ УСТАНОВЛЕНИИ ПРИАЭРОДРОМНОЙ ТЕРРИТОРИИ АЭРОДРОМА ГРАЖДАНСКОЙ АВИАЦИИ НИЖНЕКАМСК (БЕГИШЕВО)"
(Зарегистрировано в Минюсте РФ 13.09.2023 N 75197)
Показывать страниц:
1
10
100
Для качественной печати:
PDF-файл документа (54 Мб)
<<
<
238
239
240
241
242
243
244
245
246
247
248
>
>>
Страница
243
из
316
<<
<
238
239
240
241
242
243
244
245
246
247
248
>
>>