Министерство Юстиции Российской Федерации
версия для слабовидящих
×
Закрыть
Информация об официальном опубликовании
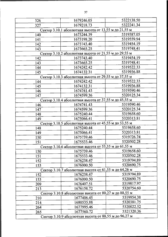
ПРИКАЗ Росавиации от 07.08.2023 N 633-П
"ОБ УСТАНОВЛЕНИИ ПРИАЭРОДРОМНОИ ТЕРРИТОРИИ АЭРОДРОМА ГРАЖДАНСКОЙ АВИАЦИИ ОХОТСК"
(Зарегистрировано в Минюсте РФ 04.09.2023 N 75095)
Показывать страниц:
1
10
100
Для качественной печати:
PDF-файл документа (36 Мб)
<<
<
33
34
35
36
37
38
39
40
41
42
43
>
>>
Страница
38
из
114
<<
<
33
34
35
36
37
38
39
40
41
42
43
>
>>