Министерство Юстиции Российской Федерации
версия для слабовидящих
×
Закрыть
Информация об официальном опубликовании
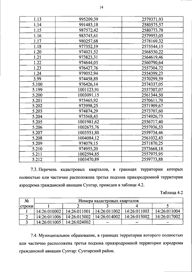
ПРИКАЗ Росавиации от 19.07.2023 N 540-П
"ОБ УСТАНОВЛЕНИИ ПРИАЭРОДРОМНОЙ ТЕРРИТОРИИ АЭРОДРОМА ГРАЖДАНСКОЙ АВИАЦИИ СУНТАР"
(Зарегистрировано в Минюсте РФ 16.08.2023 N 74811)
Показывать страниц:
1
10
100
Для качественной печати:
PDF-файл документа (13 Мб)
<<
<
10
11
12
13
14
15
16
17
18
19
20
>
>>
Страница
15
из
59
<<
<
10
11
12
13
14
15
16
17
18
19
20
>
>>