Министерство Юстиции Российской Федерации
версия для слабовидящих
×
Закрыть
Информация об официальном опубликовании
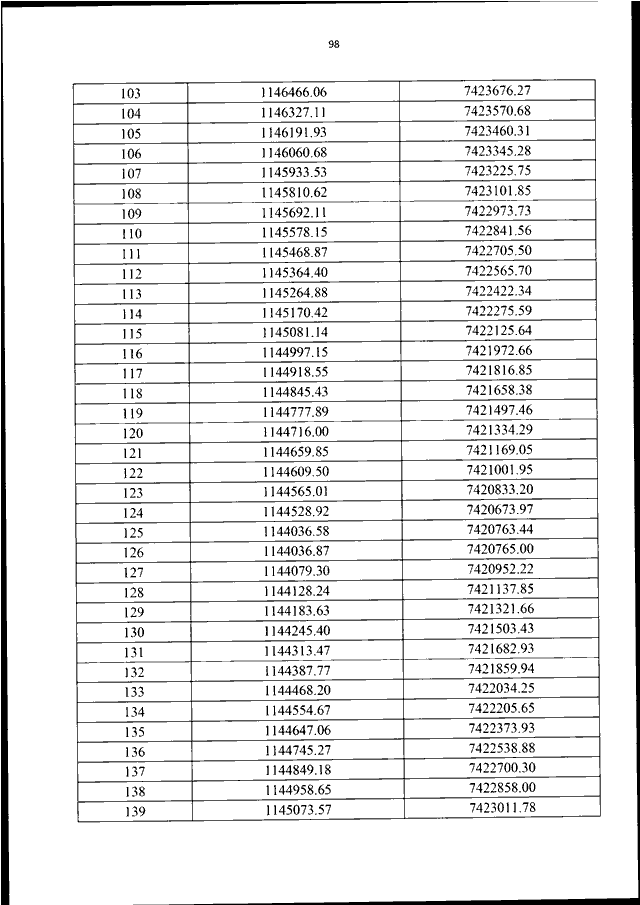
ПРИКАЗ Росавиации от 07.08.2023 N 532-П
"ОБ УСТАНОВЛЕНИИ ПРИАЭРОДРОМНОЙ ТЕРРИТОРИИ АЭРОДРОМА ГРАЖДАНСКОЙ АВИАЦИИ ЗАЛИВ КРЕСТА"
(Зарегистрировано в Минюсте РФ 01.09.2023 N 75060)
Показывать страниц:
1
10
100
Для качественной печати:
PDF-файл документа (34 Мб)
<<
<
94
95
96
97
98
99
100
101
102
103
104
>
>>
Страница
99
из
203
<<
<
94
95
96
97
98
99
100
101
102
103
104
>
>>