Министерство Юстиции Российской Федерации
версия для слабовидящих
×
Закрыть
Информация об официальном опубликовании
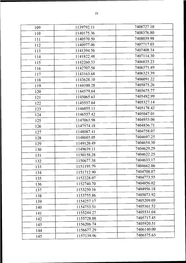
ПРИКАЗ Росавиации от 07.08.2023 N 532-П
"ОБ УСТАНОВЛЕНИИ ПРИАЭРОДРОМНОЙ ТЕРРИТОРИИ АЭРОДРОМА ГРАЖДАНСКОЙ АВИАЦИИ ЗАЛИВ КРЕСТА"
(Зарегистрировано в Минюсте РФ 01.09.2023 N 75060)
Показывать страниц:
1
10
100
Для качественной печати:
PDF-файл документа (34 Мб)
<<
<
17
18
19
20
21
22
23
24
25
26
27
>
>>
Страница
22
из
203
<<
<
17
18
19
20
21
22
23
24
25
26
27
>
>>