Министерство Юстиции Российской Федерации
версия для слабовидящих
×
Закрыть
Информация об официальном опубликовании
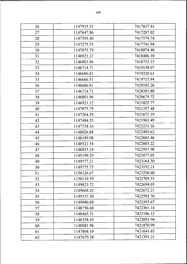
ПРИКАЗ Росавиации от 07.08.2023 N 532-П
"ОБ УСТАНОВЛЕНИИ ПРИАЭРОДРОМНОЙ ТЕРРИТОРИИ АЭРОДРОМА ГРАЖДАНСКОЙ АВИАЦИИ ЗАЛИВ КРЕСТА"
(Зарегистрировано в Минюсте РФ 01.09.2023 N 75060)
Показывать страниц:
1
10
100
Для качественной печати:
PDF-файл документа (34 Мб)
<<
<
145
146
147
148
149
150
151
152
153
154
155
>
>>
Страница
150
из
203
<<
<
145
146
147
148
149
150
151
152
153
154
155
>
>>