Министерство Юстиции Российской Федерации
версия для слабовидящих
×
Закрыть
Информация об официальном опубликовании
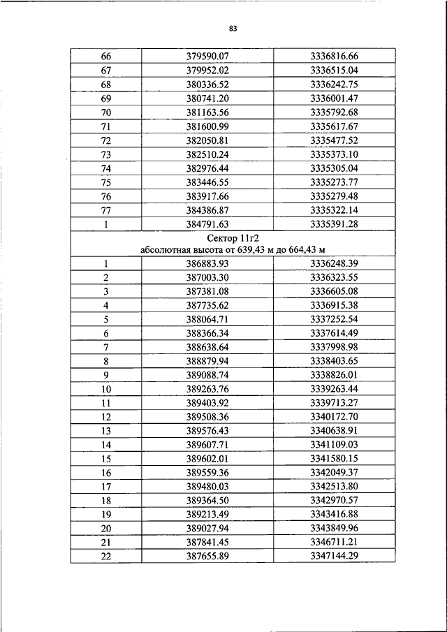
ПРИКАЗ Росавиации от 27.06.2023 N 453-П
"ОБ УСТАНОВЛЕНИИ ПРИАЭРОДРОМНОЙ ТЕРРИТОРИИ АЭРОДРОМА ГРАЖДАНСКОЙ АВИАЦИИ ИРКУТСК"
(Зарегистрировано в Минюсте РФ 25.07.2023 N 74434)
Показывать страниц:
1
10
100
Для качественной печати:
PDF-файл документа (66 Мб)
<<
<
79
80
81
82
83
84
85
86
87
88
89
>
>>
Страница
84
из
513
<<
<
79
80
81
82
83
84
85
86
87
88
89
>
>>