Министерство Юстиции Российской Федерации
версия для слабовидящих
×
Закрыть
Информация об официальном опубликовании
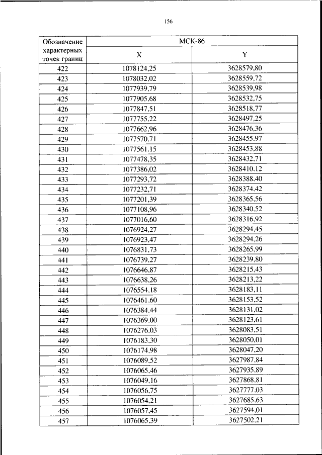
ПРИКАЗ Росавиации от 19.06.2023 N 411-П
"ОБ УСТАНОВЛЕНИИ ПРИАЭРОДРОМНОЙ ТЕРРИТОРИИ АЭРОДРОМА ГРАЖДАНСКОЙ АВИАЦИИ КОГАЛЫМ"
(Зарегистрировано в Минюсте РФ 17.07.2023 N 74312)
Показывать страниц:
1
10
100
Для качественной печати:
PDF-файл документа (52 Мб)
<<
<
152
153
154
155
156
157
158
159
160
161
162
>
>>
Страница
157
из
184
<<
<
152
153
154
155
156
157
158
159
160
161
162
>
>>