Министерство Юстиции Российской Федерации версия для слабовидящих
ПРИКАЗ Федеральной антимонопольной службы от 12.07.2023 N 456/23
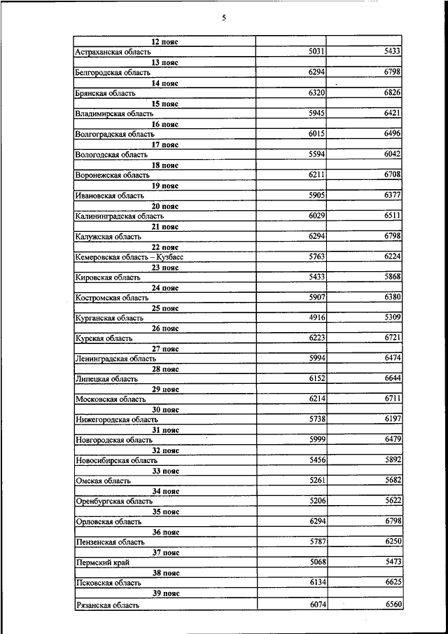
"ОБ УТВЕРЖДЕНИИ ОПТОВЫХ ЦЕН НА ГАЗ, ДОБЫВАЕМЫЙ ПАО "ГАЗПРОМ" И ЕГО АФФИЛИРОВАННЫМИ ЛИЦАМИ, РЕАЛИЗУЕМЫЙ ПОТРЕБИТЕЛЯМ РОССИЙСКОЙ ФЕДЕРАЦИИ (КРОМЕ НАСЕЛЕНИЯ И ПОТРЕБИТЕЛЕЙ РОССИЙСКОЙ ФЕДЕРАЦИИ, УКАЗАННЫХ В ПУНКТЕ 15.1 ОСНОВНЫХ ПОЛОЖЕНИЙ ФОРМИРОВАНИЯ И ГОСУДАРСТВЕННОГО РЕГУЛИРОВАНИЯ ЦЕН НА ГАЗ, ТАРИФОВ НА УСЛУГИ ПО ЕГО ТРАНСПОРТИРОВКЕ, ПЛАТЫ ЗА ТЕХНОЛОГИЧЕСКОЕ ПРИСОЕДИНЕНИЕ ГАЗОИСПОЛЬЗУЮЩЕГО ОБОРУДОВАНИЯ К ГАЗОРАСПРЕДЕЛИТЕЛЬНЫМ СЕТЯМ НА ТЕРРИТОРИИ РОССИЙСКОЙ ФЕДЕРАЦИИ И ПЛАТЫ ЗА ТЕХНОЛОГИЧЕСКОЕ ПРИСОЕДИНЕНИЕ К МАГИСТРАЛЬНЫМ ГАЗОПРОВОДАМ СТРОЯЩИХСЯ И РЕКОНСТРУИРУЕМЫХ ГАЗОПРОВОДОВ, ПРЕДНАЗНАЧЕННЫХ ДЛЯ ТРАНСПОРТИРОВКИ ГАЗА ОТ МАГИСТРАЛЬНЫХ ГАЗОПРОВОДОВ ДО ОБЪЕКТОВ КАПИТАЛЬНОГО СТРОИТЕЛЬСТВА, И ГАЗОПРОВОДОВ, ПРЕДНАЗНАЧЕННЫХ ДЛЯ ТРАНСПОРТИРОВКИ ГАЗА ОТ МЕСТОРОЖДЕНИЙ ПРИРОДНОГО ГАЗА ДО МАГИСТРАЛЬНОГО ГАЗОПРОВОДА, УТВЕРЖДЕННЫХ ПОСТАНОВЛЕНИЕМ ПРАВИТЕЛЬСТВА РОССИЙСКОЙ ФЕДЕРАЦИИ ОТ 29 ДЕКАБРЯ 2000 Г. N 1021)"
(Зарегистрировано в Минюсте РФ 14.07.2023 N 74303)
Показывать страниц:
Для качественной печати: PDF-файл документа (405 Кб)
Страница 5 из 7