Министерство Юстиции Российской Федерации
версия для слабовидящих
×
Закрыть
Информация об официальном опубликовании
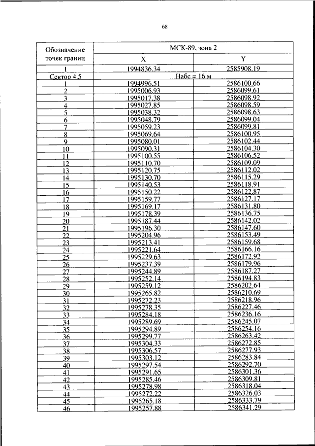
ПРИКАЗ Росавиации от 23.05.2023 N 334-П
"ОБ УСТАНОВЛЕНИИ ПРИАЭРОДРОМНОЙ ТЕРРИТОРИИ АЭРОДРОМА ГРАЖДАНСКОЙ АВИАЦИИ БОВАНЕНКОВО"
(Зарегистрировано в Минюсте РФ 14.07.2023 N 74285)
Показывать страниц:
1
10
100
Для качественной печати:
PDF-файл документа (29 Мб)
<<
<
64
65
66
67
68
69
70
71
72
73
74
>
>>
Страница
69
из
164
<<
<
64
65
66
67
68
69
70
71
72
73
74
>
>>