Министерство Юстиции Российской Федерации
версия для слабовидящих
×
Закрыть
Информация об официальном опубликовании
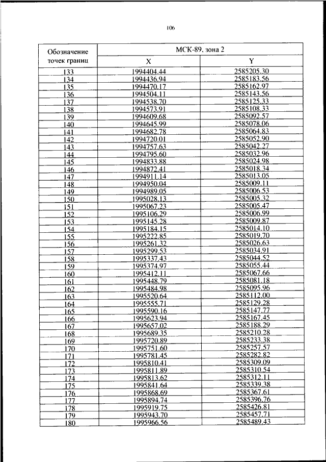
ПРИКАЗ Росавиации от 23.05.2023 N 334-П
"ОБ УСТАНОВЛЕНИИ ПРИАЭРОДРОМНОЙ ТЕРРИТОРИИ АЭРОДРОМА ГРАЖДАНСКОЙ АВИАЦИИ БОВАНЕНКОВО"
(Зарегистрировано в Минюсте РФ 14.07.2023 N 74285)
Показывать страниц:
1
10
100
Для качественной печати:
PDF-файл документа (29 Мб)
<<
<
102
103
104
105
106
107
108
109
110
111
112
>
>>
Страница
107
из
164
<<
<
102
103
104
105
106
107
108
109
110
111
112
>
>>