Министерство Юстиции Российской Федерации
версия для слабовидящих
×
Закрыть
Информация об официальном опубликовании
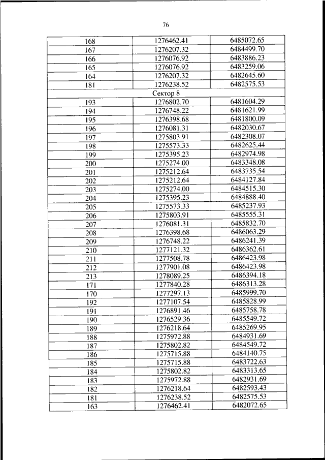
ПРИКАЗ Росавиации от 23.05.2023 N 336-П
"ОБ УСТАНОВЛЕНИИ ПРИАЭРОДРОМНОЙ ТЕРРИТОРИИ АЭРОДРОМА ГРАЖДАНСКОЙ АВИАЦИИ ВОРКУТА"
(Зарегистрировано в Минюсте РФ 13.07.2023 N 74265)
Показывать страниц:
1
10
100
Для качественной печати:
PDF-файл документа (39 Мб)
<<
<
72
73
74
75
76
77
78
79
80
81
82
>
>>
Страница
77
из
139
<<
<
72
73
74
75
76
77
78
79
80
81
82
>
>>