Министерство Юстиции Российской Федерации
версия для слабовидящих
×
Закрыть
Информация об официальном опубликовании
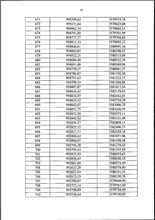
ПРИКАЗ Росавиации от 17.04.2023 N 234-П
"ОБ УСТАНОВЛЕНИИ ПРИАЭРОДРОМНОЙ ТЕРРИТОРИИ АЭРОДРОМА ГРАЖДАНСКОЙ АВИАЦИИ СУРГУТ"
(Зарегистрировано в Минюсте РФ 13.07.2023 N 74249)
Показывать страниц:
1
10
100
Для качественной печати:
PDF-файл документа (55 Мб)
<<
<
48
49
50
51
52
53
54
55
56
57
58
>
>>
Страница
53
из
524
<<
<
48
49
50
51
52
53
54
55
56
57
58
>
>>