Министерство Юстиции Российской Федерации
версия для слабовидящих
×
Закрыть
Информация об официальном опубликовании
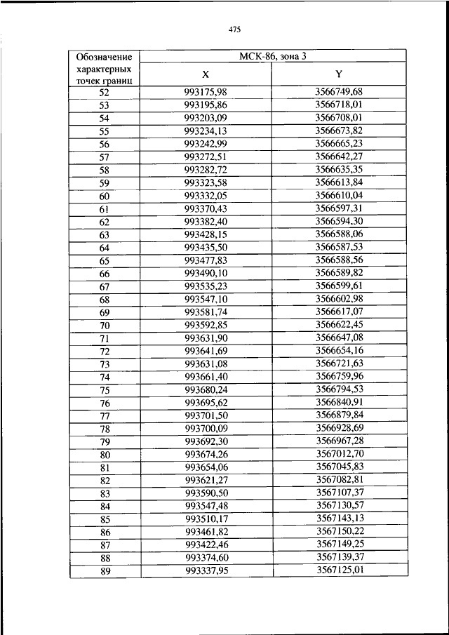
ПРИКАЗ Росавиации от 17.04.2023 N 234-П
"ОБ УСТАНОВЛЕНИИ ПРИАЭРОДРОМНОЙ ТЕРРИТОРИИ АЭРОДРОМА ГРАЖДАНСКОЙ АВИАЦИИ СУРГУТ"
(Зарегистрировано в Минюсте РФ 13.07.2023 N 74249)
Показывать страниц:
1
10
100
Для качественной печати:
PDF-файл документа (55 Мб)
<<
<
471
472
473
474
475
476
477
478
479
480
481
>
>>
Страница
476
из
524
<<
<
471
472
473
474
475
476
477
478
479
480
481
>
>>