Министерство Юстиции Российской Федерации
версия для слабовидящих
×
Закрыть
Информация об официальном опубликовании
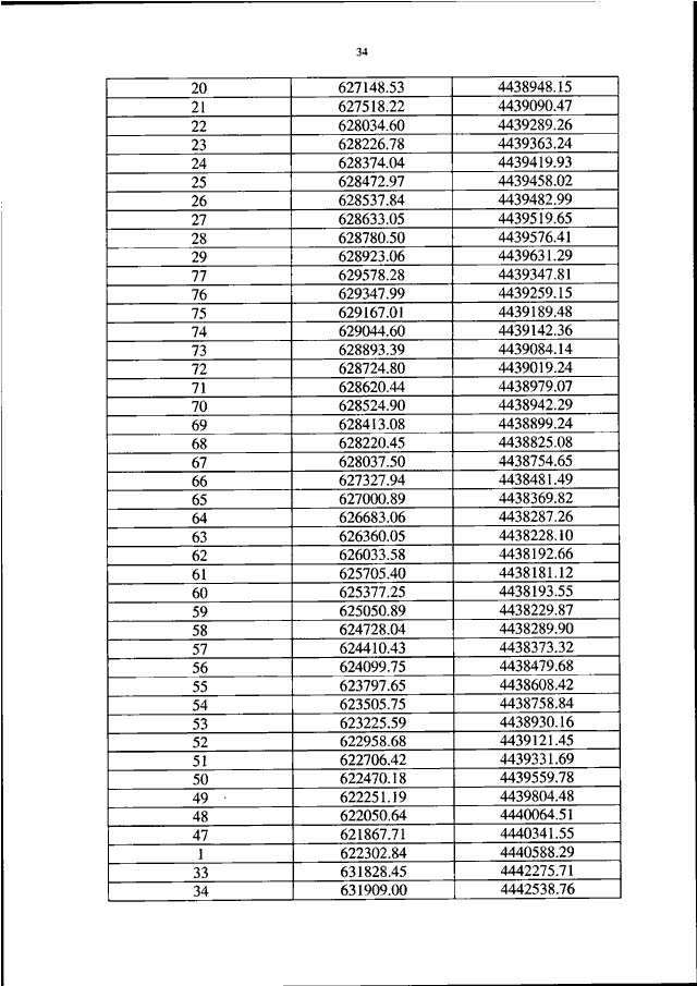
ПРИКАЗ Росавиации от 17.04.2023 N 233-П
"ОБ УСТАНОВЛЕНИИ ПРИАЭРОДРОМНОЙ ТЕРРИТОРИИ АЭРОДРОМА ГРАЖДАНСКОЙ АВИАЦИИ СЫКТЫВКАР"
(Зарегистрировано в Минюсте РФ 13.07.2023 N 74248)
Показывать страниц:
1
10
100
Для качественной печати:
PDF-файл документа (34 Мб)
<<
<
30
31
32
33
34
35
36
37
38
39
40
>
>>
Страница
35
из
132
<<
<
30
31
32
33
34
35
36
37
38
39
40
>
>>