Министерство Юстиции Российской Федерации
версия для слабовидящих
×
Закрыть
Информация об официальном опубликовании
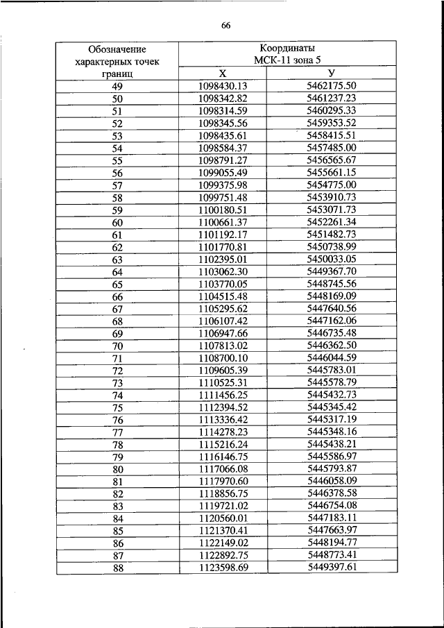
ПРИКАЗ Росавиации от 27.03.2023 N 178-П
"ОБ УСТАНОВЛЕНИИ ПРИАЭРОДРОМНОЙ ТЕРРИТОРИИ АЭРОДРОМА ГРАЖДАНСКОЙ АВИАЦИИ УСИНСК"
(Зарегистрировано в Минюсте РФ 10.07.2023 N 74193)
Показывать страниц:
1
10
100
Для качественной печати:
PDF-файл документа (44 Мб)
<<
<
62
63
64
65
66
67
68
69
70
71
72
>
>>
Страница
67
из
143
<<
<
62
63
64
65
66
67
68
69
70
71
72
>
>>