Министерство Юстиции Российской Федерации
версия для слабовидящих
×
Закрыть
Информация об официальном опубликовании
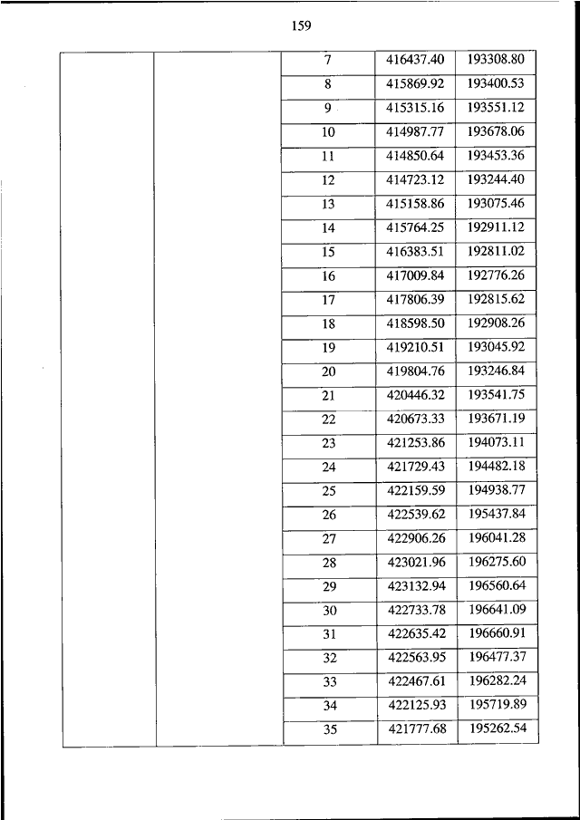
ПРИКАЗ Росавиации от 18.05.2023 N 319-П
"ОБ УСТАНОВЛЕНИИ ПРИАЭРОДРОМНОЙ ТЕРРИТОРИИ АЭРОДРОМА ГРАЖДАНСКОЙ АВИАЦИИ АБАКАН"
(Зарегистрировано в Минюсте РФ 10.07.2023 N 74195)
Показывать страниц:
1
10
100
Для качественной печати:
PDF-файл документа (38 Мб)
<<
<
155
156
157
158
159
160
161
162
163
164
165
>
>>
Страница
160
из
279
<<
<
155
156
157
158
159
160
161
162
163
164
165
>
>>