Министерство Юстиции Российской Федерации
версия для слабовидящих
×
Закрыть
Информация об официальном опубликовании
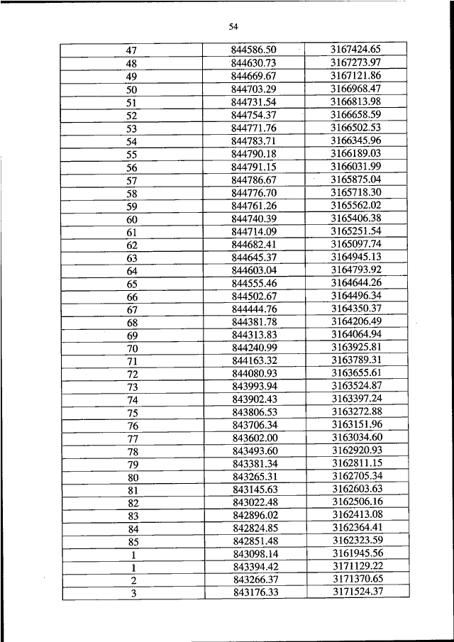
ПРИКАЗ Росавиации от 18.05.2023 N 320-П
"ОБ УСТАНОВЛЕНИИ ПРИАЭРОДРОМНОЙ ТЕРРИТОРИИ АЭРОДРОМА ГРАЖДАНСКОЙ АВИАЦИИ БРАТСК"
(Зарегистрировано в Минюсте РФ 10.07.2023 N 74199)
Показывать страниц:
1
10
100
Для качественной печати:
PDF-файл документа (54 Мб)
<<
<
50
51
52
53
54
55
56
57
58
59
60
>
>>
Страница
55
из
277
<<
<
50
51
52
53
54
55
56
57
58
59
60
>
>>