Министерство Юстиции Российской Федерации
версия для слабовидящих
×
Закрыть
Информация об официальном опубликовании
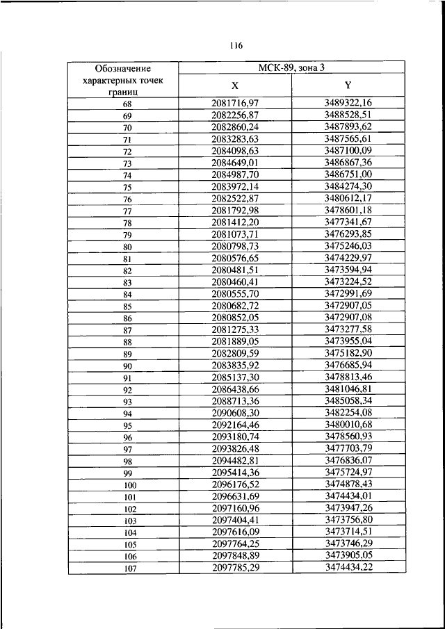
ПРИКАЗ Росавиации от 18.05.2023 N 315-П
"ОБ УСТАНОВЛЕНИИ ПРИАЭРОДРОМНОЙ ТЕРРИТОРИИ АЭРОДРОМА ГРАЖДАНСКОЙ АВИАЦИИ САБЕТТА"
(Зарегистрировано в Минюсте РФ 10.07.2023 N 74190)
Показывать страниц:
1
10
100
Для качественной печати:
PDF-файл документа (54 Мб)
<<
<
112
113
114
115
116
117
118
119
120
121
122
>
>>
Страница
117
из
131
<<
<
112
113
114
115
116
117
118
119
120
121
122
>
>>