Министерство Юстиции Российской Федерации
версия для слабовидящих
×
Закрыть
Информация об официальном опубликовании
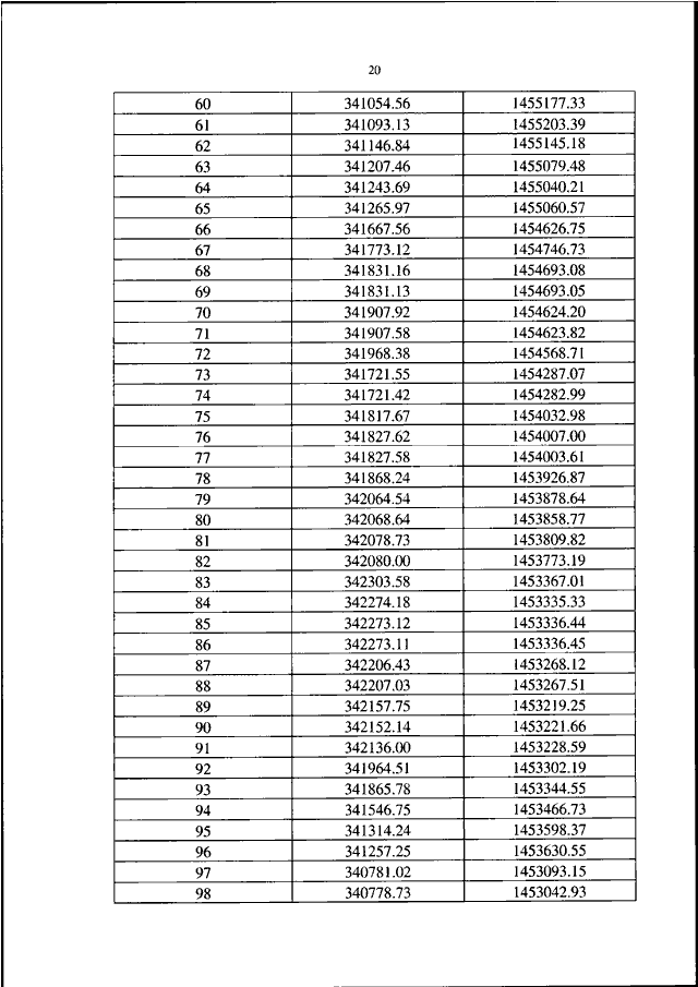
ПРИКАЗ Росавиации от 18.05.2023 N 314-П
"ОБ УСТАНОВЛЕНИИ ПРИАЭРОДРОМНОЙ ТЕРРИТОРИИ АЭРОДРОМА ГРАЖДАНСКОЙ АВИАЦИИ ТЮМЕНЬ (РОЩИНО)"
(Зарегистрировано в Минюсте РФ 10.07.2023 N 74185)
Показывать страниц:
1
10
100
Для качественной печати:
PDF-файл документа (31 Мб)
<<
<
16
17
18
19
20
21
22
23
24
25
26
>
>>
Страница
21
из
240
<<
<
16
17
18
19
20
21
22
23
24
25
26
>
>>