Министерство Юстиции Российской Федерации
версия для слабовидящих
×
Закрыть
Информация об официальном опубликовании
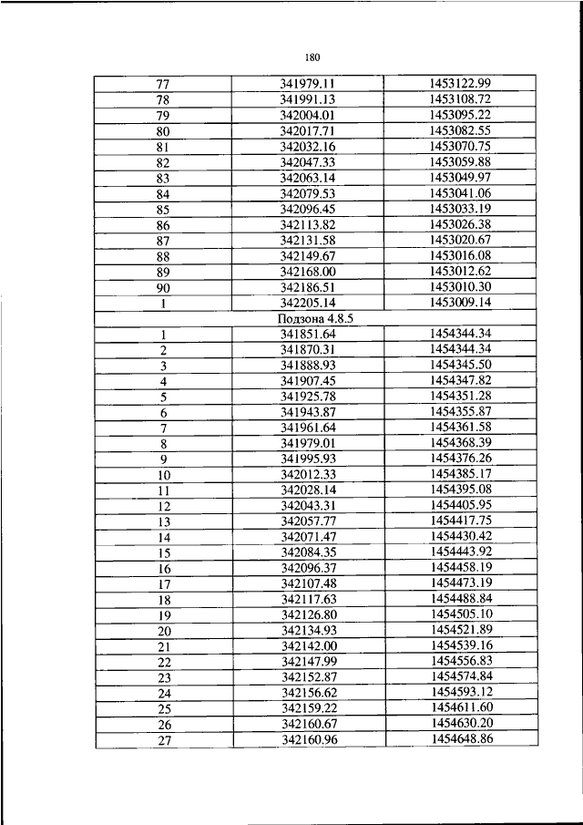
ПРИКАЗ Росавиации от 18.05.2023 N 314-П
"ОБ УСТАНОВЛЕНИИ ПРИАЭРОДРОМНОЙ ТЕРРИТОРИИ АЭРОДРОМА ГРАЖДАНСКОЙ АВИАЦИИ ТЮМЕНЬ (РОЩИНО)"
(Зарегистрировано в Минюсте РФ 10.07.2023 N 74185)
Показывать страниц:
1
10
100
Для качественной печати:
PDF-файл документа (31 Мб)
<<
<
176
177
178
179
180
181
182
183
184
185
186
>
>>
Страница
181
из
240
<<
<
176
177
178
179
180
181
182
183
184
185
186
>
>>