Министерство Юстиции Российской Федерации
версия для слабовидящих
×
Закрыть
Информация об официальном опубликовании
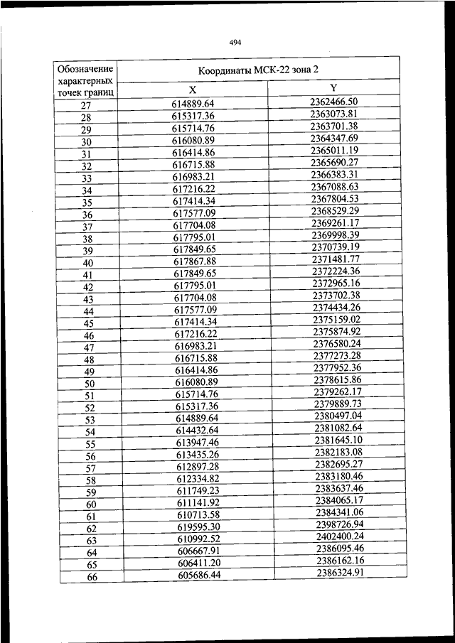
ПРИКАЗ Росавиации от 02.05.2023 N 272-П
"ОБ УСТАНОВЛЕНИИ ПРИАЭРОДРОМНОЙ ТЕРРИТОРИИ АЭРОДРОМА ГРАЖДАНСКОЙ АВИАЦИИ БАРНАУЛ (МИХАЙЛОВКА)"
(Зарегистрировано в Минюсте РФ 26.06.2023 N 73992)
Показывать страниц:
1
10
100
Для качественной печати:
PDF-файл документа (82 Мб)
<<
<
490
491
492
493
494
495
496
497
498
499
500
>
>>
Страница
495
из
531
<<
<
490
491
492
493
494
495
496
497
498
499
500
>
>>