Министерство Юстиции Российской Федерации
версия для слабовидящих
×
Закрыть
Информация об официальном опубликовании
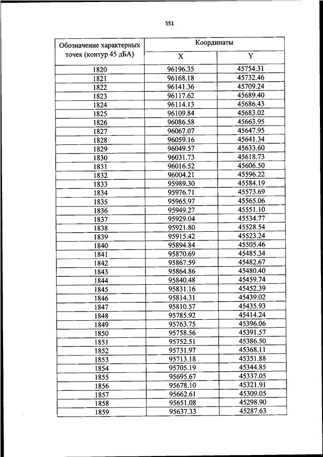
ПРИКАЗ Росавиации от 21.03.2023 N 149-П
"ОБ УСТАНОВЛЕНИИ ПРИАЭРОДРОМНОЙ ТЕРРИТОРИИ АЭРОДРОМА ГРАЖДАНСКОЙ АВИАЦИИ ЯКУТСК"
(Зарегистрировано в Минюсте РФ 22.06.2023 N 73949)
Показывать страниц:
1
10
100
Для качественной печати:
PDF-файл документа (74 Мб)
<<
<
547
548
549
550
551
552
553
554
555
556
557
>
>>
Страница
552
из
706
<<
<
547
548
549
550
551
552
553
554
555
556
557
>
>>