Министерство Юстиции Российской Федерации
версия для слабовидящих
×
Закрыть
Информация об официальном опубликовании
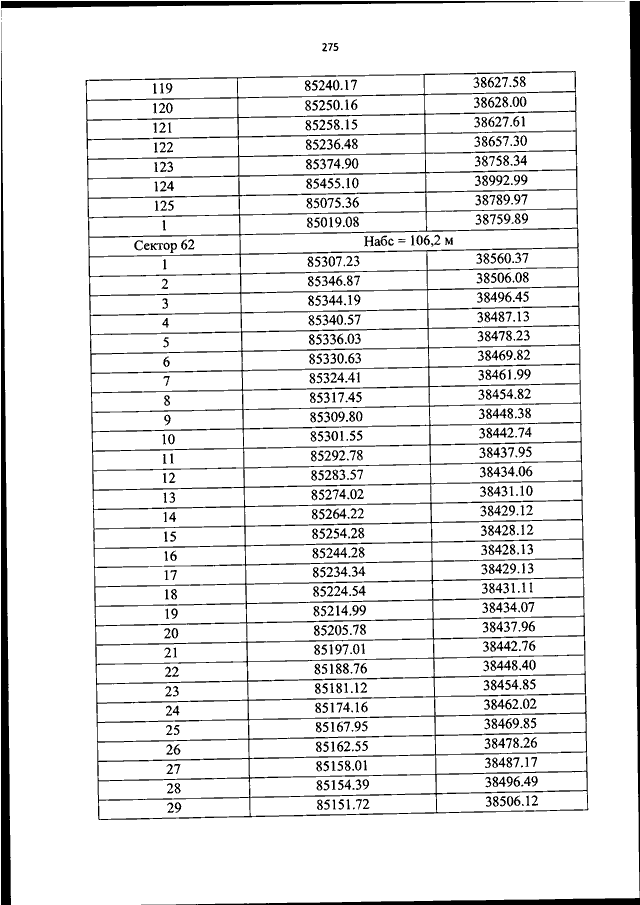
ПРИКАЗ Росавиации от 21.03.2023 N 149-П
"ОБ УСТАНОВЛЕНИИ ПРИАЭРОДРОМНОЙ ТЕРРИТОРИИ АЭРОДРОМА ГРАЖДАНСКОЙ АВИАЦИИ ЯКУТСК"
(Зарегистрировано в Минюсте РФ 22.06.2023 N 73949)
Показывать страниц:
1
10
100
Для качественной печати:
PDF-файл документа (74 Мб)
<<
<
271
272
273
274
275
276
277
278
279
280
281
>
>>
Страница
276
из
706
<<
<
271
272
273
274
275
276
277
278
279
280
281
>
>>