Министерство Юстиции Российской Федерации
версия для слабовидящих
×
Закрыть
Информация об официальном опубликовании
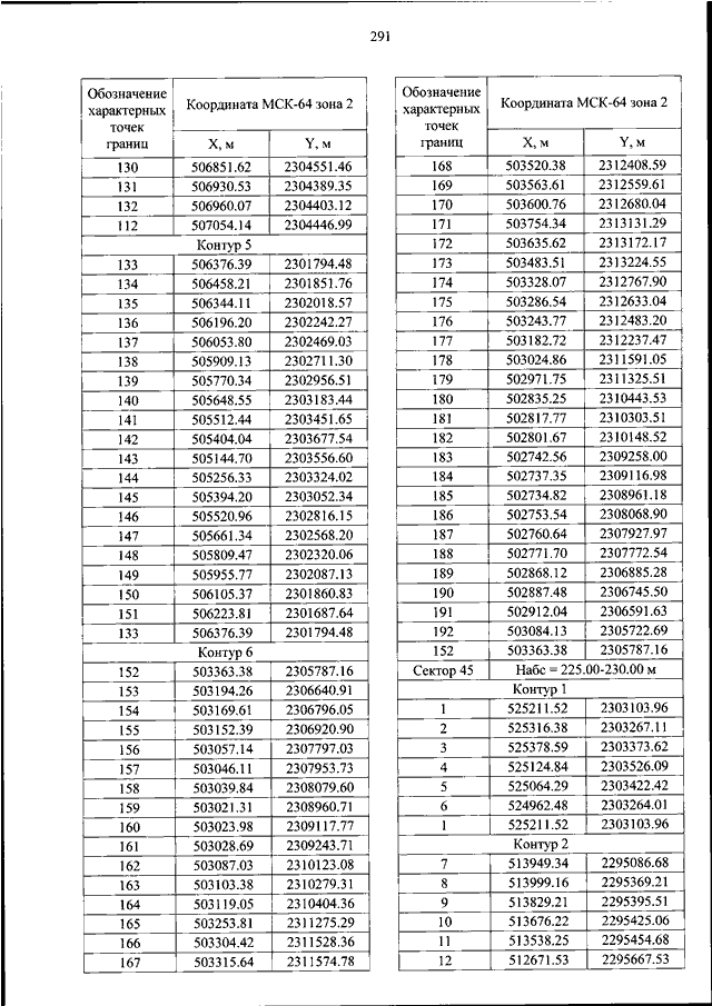
ПРИКАЗ Росавиации от 02.02.2023 N 57-П
"ОБ УСТАНОВЛЕНИИ ПРИАЭРОДРОМНОЙ ТЕРРИТОРИИ АЭРОДРОМА ГРАЖДАНСКОЙ АВИАЦИИ САРАТОВ (ГАГАРИН)"
(Зарегистрировано в Минюсте РФ 29.03.2023 N 72778)
Показывать страниц:
1
10
100
Для качественной печати:
PDF-файл документа (76 Мб)
<<
<
287
288
289
290
291
292
293
294
295
296
297
>
>>
Страница
292
из
384
<<
<
287
288
289
290
291
292
293
294
295
296
297
>
>>