Министерство Юстиции Российской Федерации
версия для слабовидящих
×
Закрыть
Информация об официальном опубликовании
ПРИКАЗ Минприроды РФ от 27.01.2023 N 48
"ОБ УТВЕРЖДЕНИИ ПОЛОЖЕНИЯ О ГОСУДАРСТВЕННОМ ПРИРОДНОМ ЗАКАЗНИКЕ ФЕДЕРАЛЬНОГО ЗНАЧЕНИЯ "ХИНГАНО-АРХАРИНСКИЙ"
(Зарегистрировано в Минюсте РФ 01.03.2023 N 72489)
Показывать страниц:
1
10
100
Для качественной печати:
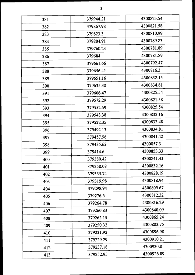
PDF-файл документа (6 Мб)
<<
<
16
17
18
19
20
21
22
23
24
25
26
>
>>
Страница
21
из
114
<<
<
16
17
18
19
20
21
22
23
24
25
26
>
>>