Министерство Юстиции Российской Федерации
версия для слабовидящих
×
Закрыть
Информация об официальном опубликовании
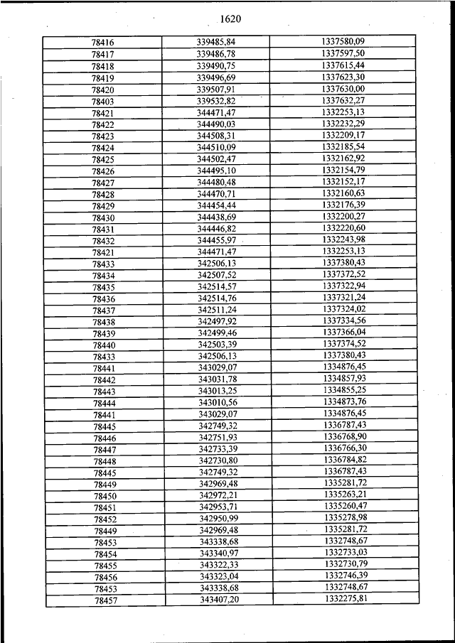
ПРИКАЗ Минприроды РФ от 15.02.2023 N 84 (Продолжение)
"ОБ УТВЕРЖДЕНИИ ПОЛОЖЕНИЯ О НАЦИОНАЛЬНОМ ПАРКЕ "ЛАДОЖСКИЕ ШХЕРЫ"
(Зарегистрировано в Минюсте РФ 28.02.2023 N 72458)
Показывать страниц:
1
10
100
Для качественной печати:
PDF-файл документа (65 Мб)
<<
<
730
731
732
733
734
735
736
737
738
739
740
>
>>
Страница
735
из
900
<<
<
730
731
732
733
734
735
736
737
738
739
740
>
>>