Министерство Юстиции Российской Федерации
версия для слабовидящих
×
Закрыть
Информация об официальном опубликовании
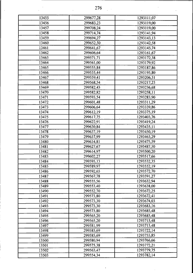
ПРИКАЗ Минприроды РФ от 15.02.2023 N 84 (Начало)
"ОБ УТВЕРЖДЕНИИ ПОЛОЖЕНИЯ О НАЦИОНАЛЬНОМ ПАРКЕ "ЛАДОЖСКИЕ ШХЕРЫ"
(Зарегистрировано в Минюсте РФ 28.02.2023 N 72458)
Показывать страниц:
1
10
100
Для качественной печати:
PDF-файл документа (64 Мб)
<<
<
286
287
288
289
290
291
292
293
294
295
296
>
>>
Страница
291
из
900
<<
<
286
287
288
289
290
291
292
293
294
295
296
>
>>