Министерство Юстиции Российской Федерации
версия для слабовидящих
×
Закрыть
Информация об официальном опубликовании
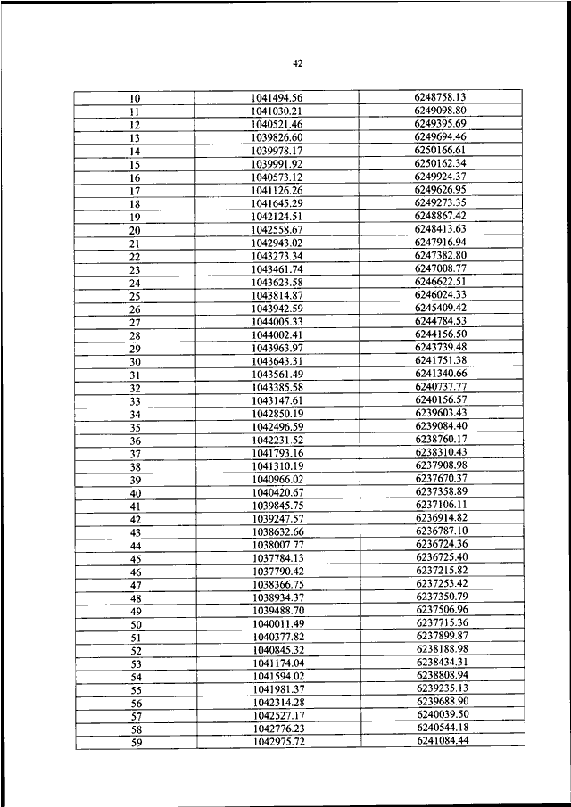
ПРИКАЗ Росавиации от 18.05.2023 N 316-П
"ОБ УСТАНОВЛЕНИИ ПРИАЭРОДРОМНОЙ ТЕРРИТОРИИ АЭРОДРОМА ГРАЖДАНСКОЙ АВИАЦИИ ТАКСИМО"
(Зарегистрировано в Минюсте РФ 19.06.2023 N 73898)
Показывать страниц:
1
10
100
Для качественной печати:
PDF-файл документа (41 Мб)
<<
<
38
39
40
41
42
43
44
45
46
47
48
>
>>
Страница
43
из
103
<<
<
38
39
40
41
42
43
44
45
46
47
48
>
>>