Министерство Юстиции Российской Федерации
версия для слабовидящих
×
Закрыть
Информация об официальном опубликовании
Документ официально опубликован в "Бюллетене нормативных актов федеральных органов исполнительной власти", N 16, 22.04.2013
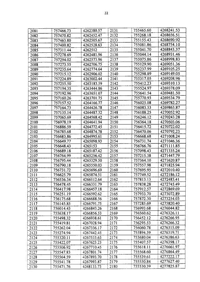
ПРИКАЗ Минприроды РФ от 09.11.2012 N 376
"ОБ УТВЕРЖДЕНИИ ПОЛОЖЕНИЯ О ЗАБАЙКАЛЬСКОМ НАЦИОНАЛЬНОМ ПАРКЕ"
(Зарегистрировано в Минюсте РФ 11.02.2013 N 26986)
Справка к документу
Показывать страниц:
1
10
100
Для качественной печати:
PDF-файл документа (6 Мб)
<<
<
27
28
29
30
31
32
33
34
35
36
37
>
>>
Страница
32
из
73
<<
<
27
28
29
30
31
32
33
34
35
36
37
>
>>