Министерство Юстиции Российской Федерации
версия для слабовидящих
×
Закрыть
Информация об официальном опубликовании
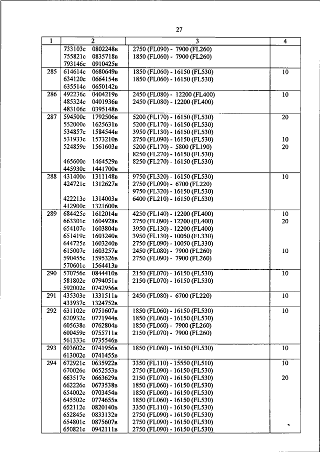
ПРИКАЗ Минтранса РФ от 23.07.2020 N 249
"ОБ УТВЕРЖДЕНИИ МАРШРУТОВ ОБСЛУЖИВАНИЯ ВОЗДУШНОГО ДВИЖЕНИЯ"
(Зарегистрировано в Минюсте РФ 28.08.2020 N 59538)
Показывать страниц:
1
10
100
Для качественной печати:
PDF-файл документа (8 Мб)
<<
<
24
25
26
27
28
29
30
31
32
33
34
>
>>
Страница
29
из
131
<<
<
24
25
26
27
28
29
30
31
32
33
34
>
>>