Министерство Юстиции Российской Федерации
версия для слабовидящих
×
Закрыть
Информация об официальном опубликовании
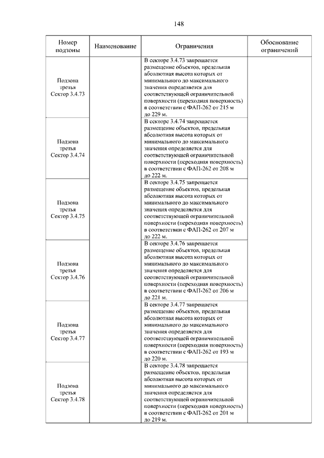
ПРИКАЗ Росавиации от 17.04.2020 N 395-П
"ОБ УСТАНОВЛЕНИИ ПРИАЭРОДРОМНОЙ ТЕРРИТОРИИ АЭРОДРОМА МОСКВА (ШЕРЕМЕТЬЕВО)"
(Зарегистрировано в Минюсте РФ 08.06.2020 N 58605)
Показывать страниц:
1
10
100
Для качественной печати:
PDF-файл документа (41 Мб)
<<
<
144
145
146
147
148
149
150
151
152
153
154
>
>>
Страница
149
из
167
<<
<
144
145
146
147
148
149
150
151
152
153
154
>
>>