Министерство Юстиции Российской Федерации
версия для слабовидящих
×
Закрыть
Информация об официальном опубликовании
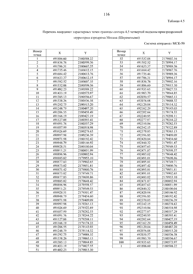
ПРИКАЗ Росавиации от 17.04.2020 N 395-П
"ОБ УСТАНОВЛЕНИИ ПРИАЭРОДРОМНОЙ ТЕРРИТОРИИ АЭРОДРОМА МОСКВА (ШЕРЕМЕТЬЕВО)"
(Зарегистрировано в Минюсте РФ 08.06.2020 N 58605)
Показывать страниц:
1
10
100
Для качественной печати:
PDF-файл документа (41 Мб)
<<
<
112
113
114
115
116
117
118
119
120
121
122
>
>>
Страница
117
из
167
<<
<
112
113
114
115
116
117
118
119
120
121
122
>
>>