Министерство Юстиции Российской Федерации
версия для слабовидящих
×
Закрыть
Информация об официальном опубликовании
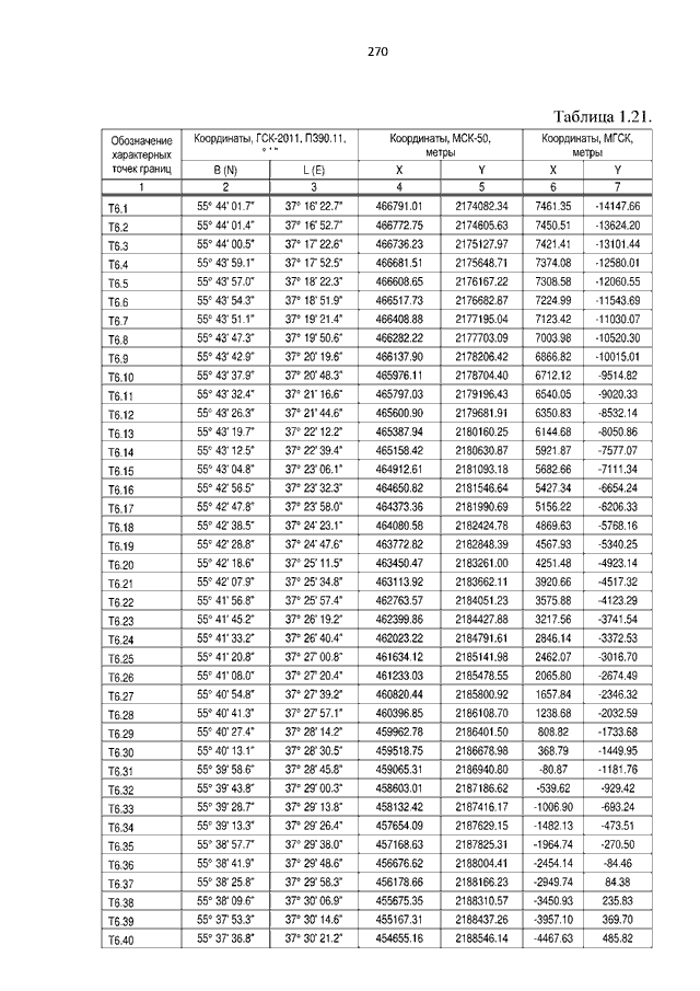
ПРИКАЗ Росавиации от 17.04.2020 N 394-П
"ОБ УСТАНОВЛЕНИИ ПРИАЭРОДРОМНОЙ ТЕРРИТОРИИ АЭРОДРОМА МОСКВА (ВНУКОВО)"
(Зарегистрировано в Минюсте РФ 05.06.2020 N 58599)
Показывать страниц:
1
10
100
Для качественной печати:
PDF-файл документа (69 Мб)
<<
<
266
267
268
269
270
271
272
273
274
275
276
>
>>
Страница
271
из
387
<<
<
266
267
268
269
270
271
272
273
274
275
276
>
>>