Министерство Юстиции Российской Федерации версия для слабовидящих
ПРИКАЗ Минкультуры РФ от 30.09.2019 N 1449 (Начало)
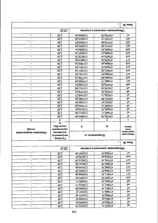
"ОБ УТВЕРЖДЕНИЕ ТРЕБОВАНИЙ К ОСУЩЕСТВЛЕНИЮ ДЕЯТЕЛЬНОСТИ И ГРАДОСТРОИТЕЛЬНЫМ РЕГЛАМЕНТАМ В ГРАНИЦАХ ТЕРРИТОРИИ ОБЪЕКТА КУЛЬТУРНОГО НАСЛЕДИЯ ФЕДЕРАЛЬНОГО ЗНАЧЕНИЯ - ДОСТОПРИМЕЧАТЕЛЬНОЕ МЕСТО "ЕСЕНИНСКАЯ РУСЬ - МЕСТО, СВЯЗАННОЕ С ЖИЗНЬЮ И ТВОРЧЕСТВОМ ПОЭТА С.А. ЕСЕНИНА", РАСПОЛОЖЕННОГО ПО АДРЕСУ: РЯЗАНСКАЯ ОБЛАСТЬ, РЫБНОВСКИЙ РАЙОН, РЯЗАНСКИЙ РАЙОН, Г. РЯЗАНЬ"
(Зарегистрировано в Минюсте РФ 06.11.2019 N 56421)
Показывать страниц:
Для качественной печати: PDF-файл документа (1111 Мб)
Страница 556 из 900