Министерство Юстиции Российской Федерации версия для слабовидящих
УКАЗАНИЕ ЦБ РФ от 10.06.2019 N 5168-У
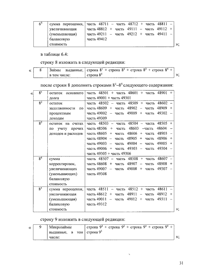
"О ВНЕСЕНИИ ИЗМЕНЕНИЙ В ПОЛОЖЕНИЕ БАНКА РОССИИ ОТ 25 ОКТЯБРЯ 2017 Г. N 614-П "О ФОРМАХ РАСКРЫТИЯ ИНФОРМАЦИИ В БУХГАЛТЕРСКОЙ (ФИНАНСОВОЙ) ОТЧЕТНОСТИ МИКРОФИНАНСОВЫХ ОРГАНИЗАЦИЙ, КРЕДИТНЫХ ПОТРЕБИТЕЛЬСКИХ КООПЕРАТИВОВ, СЕЛЬСКОХОЗЯЙСТВЕННЫХ КРЕДИТНЫХ ПОТРЕБИТЕЛЬСКИХ КООПЕРАТИВОВ, ЖИЛИЩНЫХ НАКОПИТЕЛЬНЫХ КООПЕРАТИВОВ, ЛОМБАРДОВ И ПОРЯДКЕ ГРУППИРОВКИ СЧЕТОВ БУХГАЛТЕРСКОГО УЧЕТА В СООТВЕТСТВИИ С ПОКАЗАТЕЛЯМИ БУХГАЛТЕРСКОЙ (ФИНАНСОВОЙ) ОТЧЕТНОСТИ"
(Зарегистрировано в Минюсте РФ 08.07.2019 N 55165)
Показывать страниц:
Для качественной печати: PDF-файл документа (2 Мб)
Страница 31 из 43