Министерство Юстиции Российской Федерации версия для слабовидящих
ПРИКАЗ Минкультуры РФ от 06.06.2019 N 725
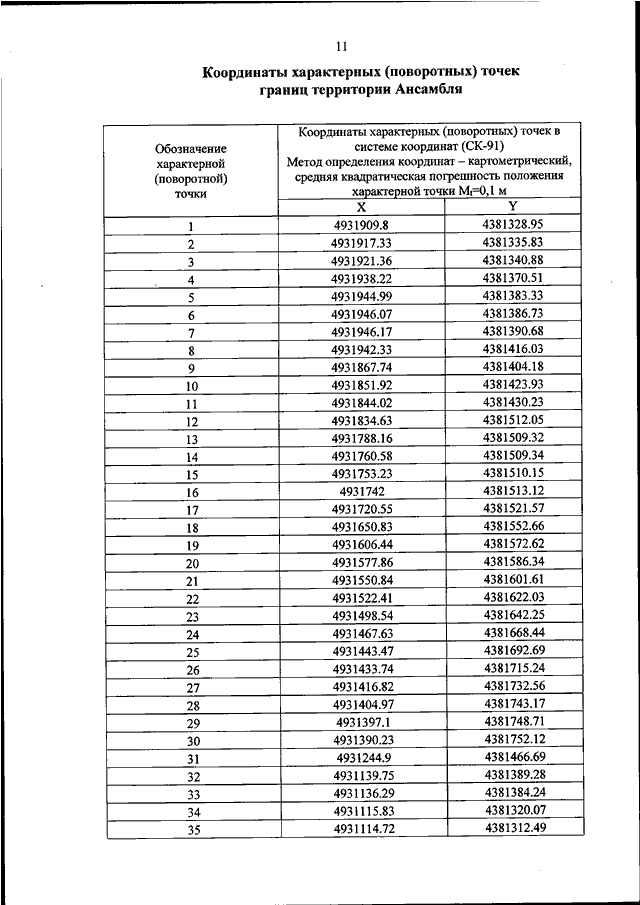
"ОБ УТВЕРЖДЕНИИ ГРАНИЦ И РЕЖИМА ИСПОЛЬЗОВАНИЯ ТЕРРИТОРИИ ОБЪЕКТА КУЛЬТУРНОГО НАСЛЕДИЯ ФЕДЕРАЛЬНОГО ЗНАЧЕНИЯ "АНСАМБЛЬ МЕМОРИАЛЬНОГО КОМПЛЕКСА ПАМЯТНИКОВ ОБОРОНЫ ГОРОДА СЕВАСТОПОЛЯ В 1854 - 1855 ГОДАХ "ИСТОРИЧЕСКИЙ БУЛЬВАР", 1904 - 1905 ГОДЫ, ВОЕННЫЙ ИНЖЕНЕР О.И. ЭНБЕРГ, РАСПОЛОЖЕННОГО ПО АДРЕСУ: Г. СЕВАСТОПОЛЬ, ИСТОРИЧЕСКИЙ БУЛЬВАР"
(Зарегистрировано в Минюсте РФ 15.07.2019 N 55253)
Показывать страниц:
Для качественной печати: PDF-файл документа (7 Мб)
Страница 11 из 15