Министерство Юстиции Российской Федерации версия для слабовидящих
ПРИКАЗ Минкомсвязи РФ от 20.06.2019 N 340
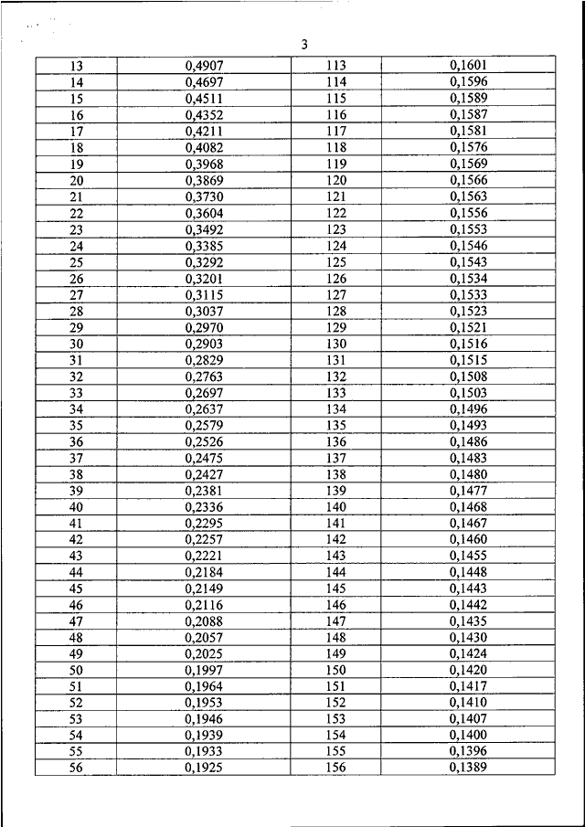
"О ВНЕСЕНИИ ИЗМЕНЕНИЙ В МЕТОДИКУ ОПРЕДЕЛЕНИЯ РАЗМЕРА ПЛАТЫ ЗА ОКАЗАНИЕ ПЛАТНОЙ УСЛУГИ ПО ЭКСПЕРТИЗЕ ВОЗМОЖНОСТИ ИСПОЛЬЗОВАНИЯ ЗАЯВЛЕННЫХ РАДИОЭЛЕКТРОННЫХ СРЕДСТВ И ИХ ЭЛЕКТРОМАГНИТНОЙ СОВМЕСТИМОСТИ С ДЕЙСТВУЮЩИМИ И ПЛАНИРУЕМЫМИ ДЛЯ ИСПОЛЬЗОВАНИЯ РАДИОЭЛЕКТРОННЫМИ СРЕДСТВАМИ, УТВЕРЖДЕННУЮ ПРИКАЗОМ МИНИСТЕРСТВА СВЯЗИ И МАССОВЫХ КОММУНИКАЦИЙ РОССИЙСКОЙ ФЕДЕРАЦИИ ОТ 26.12.2011 N 355"
(Зарегистрировано в Минюсте РФ 12.07.2019 N 55230)
Показывать страниц:
Для качественной печати: PDF-файл документа (345 Кб)
Страница 3 из 5