Министерство Юстиции Российской Федерации
версия для слабовидящих
×
Закрыть
Информация об официальном опубликовании
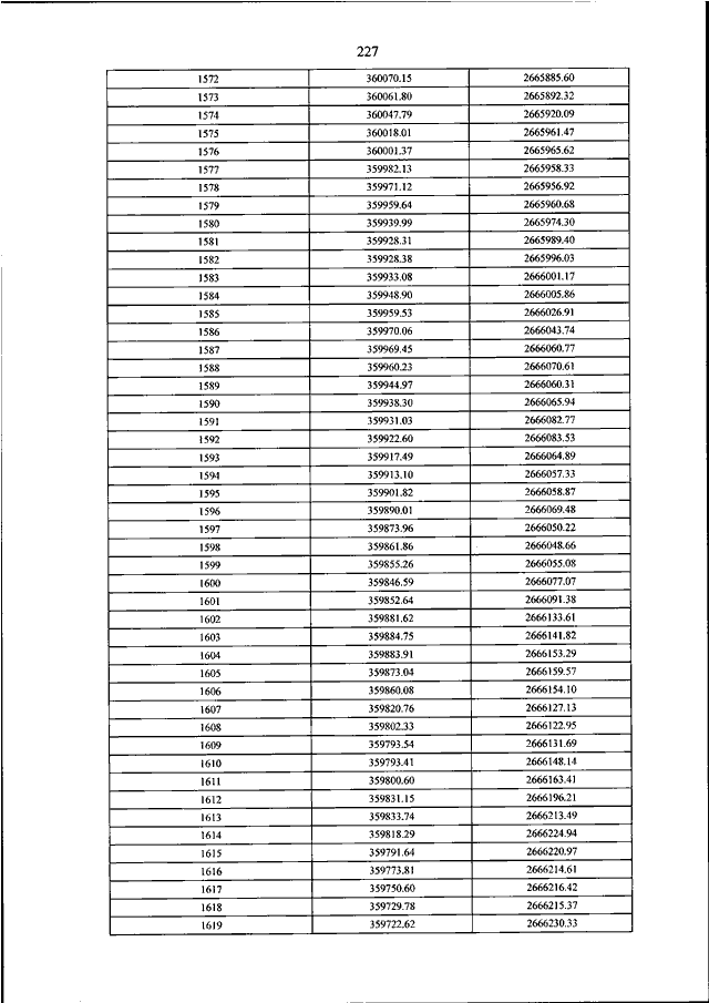
ПРИКАЗ Минприроды РФ от 19.02.2019 N 106
"ОБ УТВЕРЖДЕНИИ ПОЛОЖЕНИЯ О ГОСУДАРСТВЕННОМ ПРИРОДНОМ ЗАПОВЕДНИКЕ "МАГАДАНСКИЙ"
(Зарегистрировано в Минюсте РФ 21.03.2019 N 54114)
Показывать страниц:
1
10
100
Для качественной печати:
PDF-файл документа (17 Мб)
<<
<
231
232
233
234
235
236
237
238
239
240
241
>
>>
Страница
236
из
267
<<
<
231
232
233
234
235
236
237
238
239
240
241
>
>>