Министерство Юстиции Российской Федерации версия для слабовидящих
ПРИКАЗ Минтранса РФ от 25.01.2019 N 19
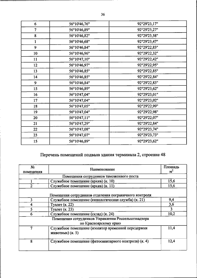
"ОБ ОТКРЫТИИ ВОЗДУШНОГО ГРУЗО - ПАССАЖИРСКОГО ПОСТОЯННОГО МНОГОСТОРОННЕГО ПУНКТА ПРОПУСКА ЧЕРЕЗ ГОСУДАРСТВЕННУЮ ГРАНИЦУ РОССИЙСКОЙ ФЕДЕРАЦИИ В МЕЖДУНАРОДНОМ АЭРОПОРТУ КРАСНОЯРСК (ЕМЕЛЬЯНОВО)"
(Зарегистрировано в Минюсте РФ 07.02.2019 N 53723)
Показывать страниц:
Для качественной печати: PDF-файл документа (2 Мб)
Страница 36 из 36