Министерство Юстиции Российской Федерации версия для слабовидящих
ПРИКАЗ Минкультуры РФ от 18.01.2019 N 50
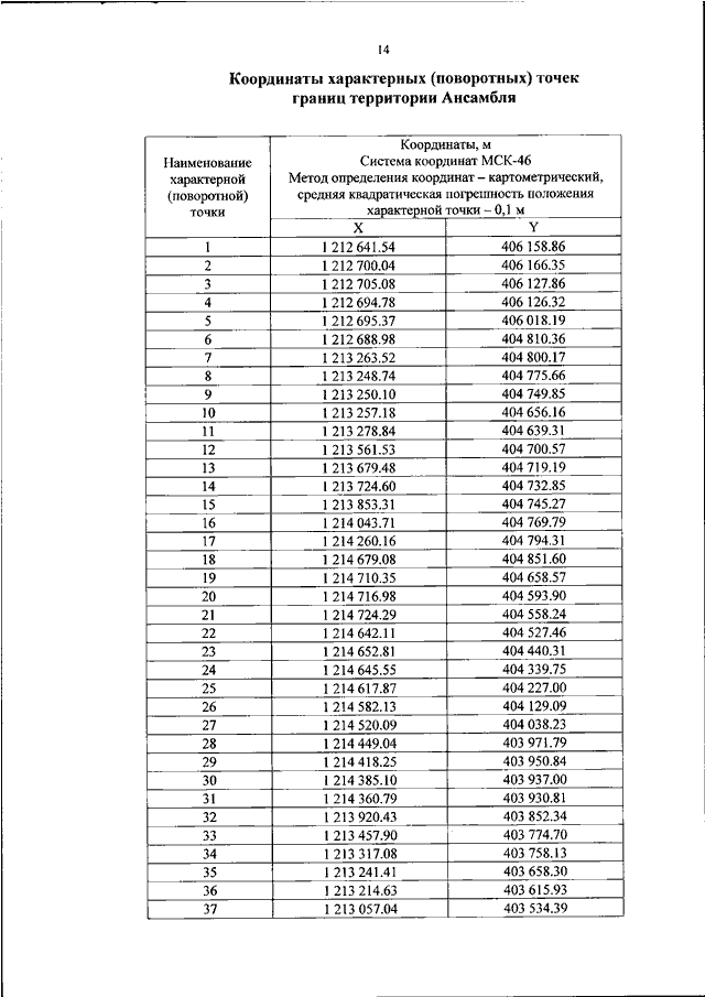
"ОБ УТВЕРЖДЕНИИ ГРАНИЦ И РЕЖИМА ИСПОЛЬЗОВАНИЯ ТЕРРИТОРИИ ОБЪЕКТА КУЛЬТУРНОГО НАСЛЕДИЯ ФЕДЕРАЛЬНОГО ЗНАЧЕНИЯ "УСАДЬБА БАРЯТИНСКИХ "МАРЬИНО", XIX - XX ВЕКА", РАСПОЛОЖЕННОГО ПО АДРЕСУ: КУРСКАЯ ОБЛАСТЬ, РЫЛЬСКИЙ РАЙОН, ПОСЕЛОК МАРЬИНО, УЛ. ЦЕНТРАЛЬНАЯ, Д. 1"
(Зарегистрировано в Минюсте РФ 04.02.2019 N 53687)
Показывать страниц:
Для качественной печати: PDF-файл документа (8 Мб)
Страница 14 из 18