Министерство Юстиции Российской Федерации версия для слабовидящих
ПРИКАЗ Федеральной антимонопольной службы от 18.01.2019 N 38/19
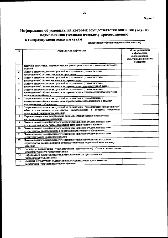
"ОБ УТВЕРЖДЕНИИ ФОРМ, СРОКОВ И ПЕРИОДИЧНОСТИ РАСКРЫТИЯ ИНФОРМАЦИИ СУБЪЕКТАМИ ЕСТЕСТВЕННЫХ МОНОПОЛИЙ, ОКАЗЫВАЮЩИМИ УСЛУГИ ПО ТРАНСПОРТИРОВКЕ ГАЗА ПО ТРУБОПРОВОДАМ, А ТАКЖЕ ПРАВИЛ ЗАПОЛНЕНИЯ УКАЗАННЫХ ФОРМ"
(Зарегистрировано в Минюсте РФ 22.01.2019 N 53481)
Показывать страниц:
Для качественной печати: PDF-файл документа (4 Мб)
Страница 29 из 54