Министерство Юстиции Российской Федерации версия для слабовидящих
ПРИКАЗ Минюста РФ от 28.12.2018 N 302
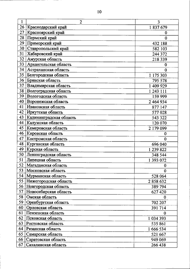
"О ВНЕСЕНИИ ИЗМЕНЕНИЙ В ЗНАЧЕНИЯ ЦЕЛЕВЫХ ПОКАЗАТЕЛЕЙ ЭФФЕКТИВНОСТИ ДЕЯТЕЛЬНОСТИ ОРГАНОВ ГОСУДАРСТВЕННОЙ ВЛАСТИ СУБЪЕКТОВ РОССИЙСКОЙ ФЕДЕРАЦИИ И АДМИНИСТРАЦИИ Г. БАЙКОНУРА ПО ОСУЩЕСТВЛЕНИЮ ПЕРЕДАННЫХ ИМ ПОЛНОМОЧИЙ РОССИЙСКОЙ ФЕДЕРАЦИИ НА ГОСУДАРСТВЕННУЮ РЕГИСТРАЦИЮ АКТОВ ГРАЖДАНСКОГО СОСТОЯНИЯ НА 2018 ГОД, УТВЕРЖДЕННЫЕ ПРИКАЗОМ МИНИСТЕРСТВА ЮСТИЦИИ РОССИЙСКОЙ ФЕДЕРАЦИИ ОТ 01.03.2018 N 42"
(Зарегистрировано в Минюсте РФ 18.01.2019 N 53432)
Показывать страниц:
Для качественной печати: PDF-файл документа (740 Кб)
Страница 11 из 12