Министерство Юстиции Российской Федерации
версия для слабовидящих
×
Закрыть
Информация об официальном опубликовании
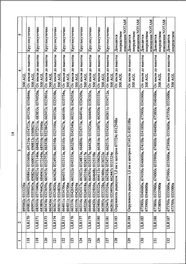
ПРИКАЗ Минтранса РФ от 17.12.2018 N 452
"ОБ УСТАНОВЛЕНИИ ЗОН ОГРАНИЧЕНИЯ ПОЛЕТОВ"
(Зарегистрировано в Минюсте РФ 15.01.2019 N 53362)
Показывать страниц:
1
10
100
Для качественной печати:
PDF-файл документа (8 Мб)
<<
<
9
10
11
12
13
14
15
16
17
18
19
>
>>
Страница
14
из
95
<<
<
9
10
11
12
13
14
15
16
17
18
19
>
>>