Министерство Юстиции Российской Федерации
версия для слабовидящих
×
Закрыть
Информация об официальном опубликовании
ПРИКАЗ Минприроды РФ от 10.12.2018 N 650
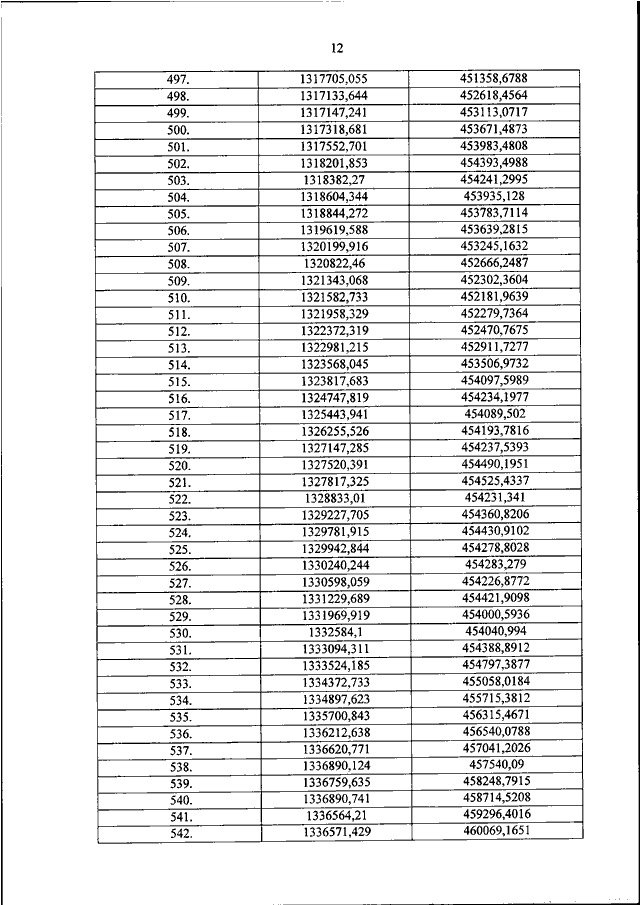
"ОБ УТВЕРЖДЕНИИ ПОЛОЖЕНИЯ О НАЦИОНАЛЬНОМ ПАРКЕ "ЧИКОЙ"
(Зарегистрировано в Минюсте РФ 26.12.2018 N 53190)
Показывать страниц:
1
10
100
Для качественной печати:
PDF-файл документа (5 Мб)
<<
<
21
22
23
24
25
26
27
28
29
30
31
>
>>
Страница
26
из
56
<<
<
21
22
23
24
25
26
27
28
29
30
31
>
>>