Министерство Юстиции Российской Федерации
версия для слабовидящих
×
Закрыть
Информация об официальном опубликовании
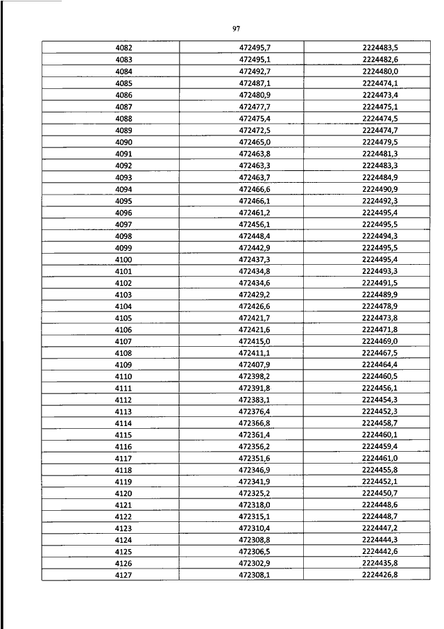
ПРИКАЗ Минприроды РФ от 07.06.2018 N 243
"ОБ УТВЕРЖДЕНИИ ПОЛОЖЕНИЯ О ГОСУДАРСТВЕННОМ ПРИРОДНОМ БИОСФЕРНОМ ЗАПОВЕДНИКЕ "ШУЛЬГАН-ТАШ"
(Зарегистрировано в Минюсте РФ 17.08.2018 N 51924)
Показывать страниц:
1
10
100
Для качественной печати:
PDF-файл документа (6 Мб)
<<
<
93
94
95
96
97
98
99
100
101
102
103
>
>>
Страница
98
из
143
<<
<
93
94
95
96
97
98
99
100
101
102
103
>
>>