Министерство Юстиции Российской Федерации версия для слабовидящих
ПРИКАЗ Минэкономразвития РФ от 17.11.2017 N 616
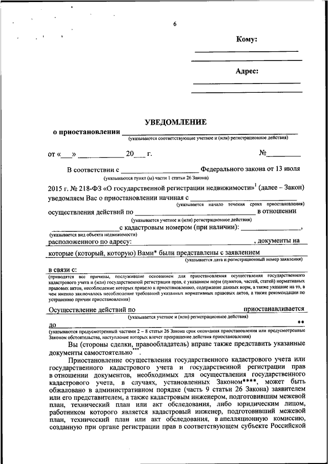
"О ВНЕСЕНИИ ИЗМЕНЕНИЙ В ПРИКАЗ МИНЭКОНОМРАЗВИТИЯ РОССИИ ОТ 25 МАРТА 2016 Г. N 173 "ОБ УТВЕРЖДЕНИИ ПОРЯДКОВ И СПОСОБОВ НАПРАВЛЕНИЯ ОРГАНОМ РЕГИСТРАЦИИ ПРАВ УВЕДОМЛЕНИЙ, А ТАКЖЕ ПОДЛЕЖАЩИХ ВЫДАЧЕ ПОСЛЕ ОСУЩЕСТВЛЕНИЯ ГОСУДАРСТВЕННОГО КАДАСТРОВОГО УЧЕТА И (ИЛИ) ГОСУДАРСТВЕННОЙ РЕГИСТРАЦИИ ПРАВ ПРЕДСТАВЛЕННЫХ ЗАЯВИТЕЛЕМ ДОКУМЕНТОВ"
(Зарегистрировано в Минюсте РФ 30.01.2018 N 49817)
Показывать страниц:
Для качественной печати: PDF-файл документа (537 Кб)
Страница 7 из 10