Министерство Юстиции Российской Федерации версия для слабовидящих
ПРИКАЗ Минтруда РФ от 28.11.2017 N 812н
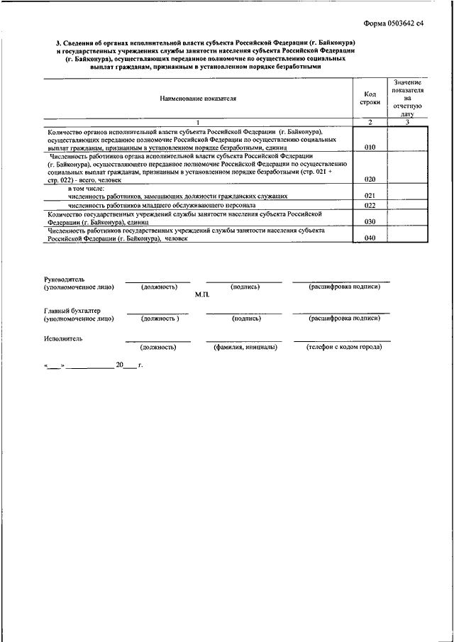
"ОБ УТВЕРЖДЕНИИ ФОРМЫ ОТЧЕТА О РАСХОДАХ БЮДЖЕТА СУБЪЕКТА РОССИЙСКОЙ ФЕДЕРАЦИИ (БЮДЖЕТА Г. БАЙКОНУРА), СВЯЗАННЫХ С ОСУЩЕСТВЛЕНИЕМ ПЕРЕДАННОГО ПОЛНОМОЧИЯ РОССИЙСКОЙ ФЕДЕРАЦИИ ПО ОСУЩЕСТВЛЕНИЮ СОЦИАЛЬНЫХ ВЫПЛАТ ГРАЖДАНАМ, ПРИЗНАННЫМ В УСТАНОВЛЕННОМ ПОРЯДКЕ БЕЗРАБОТНЫМИ, ИСТОЧНИКОМ ФИНАНСОВОГО ОБЕСПЕЧЕНИЯ КОТОРЫХ ЯВЛЯЕТСЯ СУБВЕНЦИЯ"
(Зарегистрировано в Минюсте РФ 23.01.2018 N 49742)
Показывать страниц:
Для качественной печати: PDF-файл документа (283 Кб)
Страница 6 из 6