Министерство Юстиции Российской Федерации
версия для слабовидящих
×
Закрыть
Информация об официальном опубликовании
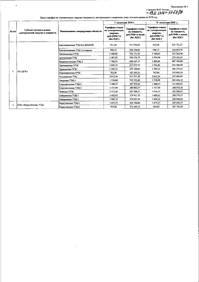
ПРИКАЗ Федеральной антимонопольной службы от 19.12.2017 N 1729/17
"О ЦЕНАХ (ТАРИФАХ) НА ЭЛЕКТРИЧЕСКУЮ ЭНЕРГИЮ (МОЩНОСТЬ), ПОСТАВЛЯЕМУЮ В НЕЦЕНОВЫХ ЗОНАХ ОПТОВОГО РЫНКА НА 2018 ГОД"
(Зарегистрировано в Минюсте РФ 12.01.2018 N 49612)
Показывать страниц:
1
10
100
Для качественной печати:
PDF-файл документа (234 Кб)
<<
<
1
2
3
4
5
6
>
>>
Страница
5
из
6
<<
<
1
2
3
4
5
6
>
>>