Министерство Юстиции Российской Федерации версия для слабовидящих
ПРИКАЗ Федеральной антимонопольной службы от 19.12.2017 N 1747/17
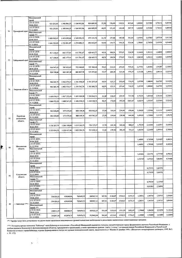
"ОБ УТВЕРЖДЕНИИ ПРЕДЕЛЬНЫХ МИНИМАЛЬНЫХ И МАКСИМАЛЬНЫХ УРОВНЕЙ ТАРИФОВ НА УСЛУГИ ПО ПЕРЕДАЧЕ ЭЛЕКТРИЧЕСКОЙ ЭНЕРГИИ, ОКАЗЫВАЕМЫЕ ПОТРЕБИТЕЛЯМ, НЕ ОТНОСЯЩИМСЯ К НАСЕЛЕНИЮ И ПРИРАВНЕННЫМ К НЕМУ КАТЕГОРИЯМ ПОТРЕБИТЕЛЕЙ, ПО СУБЪЕКТАМ РОССИЙСКОЙ ФЕДЕРАЦИИ НА 2018 ГОД"
(Зарегистрировано в Минюсте РФ 29.12.2017 N 49546)
Показывать страниц:
Для качественной печати: PDF-файл документа (1 Мб)
Страница 17 из 21